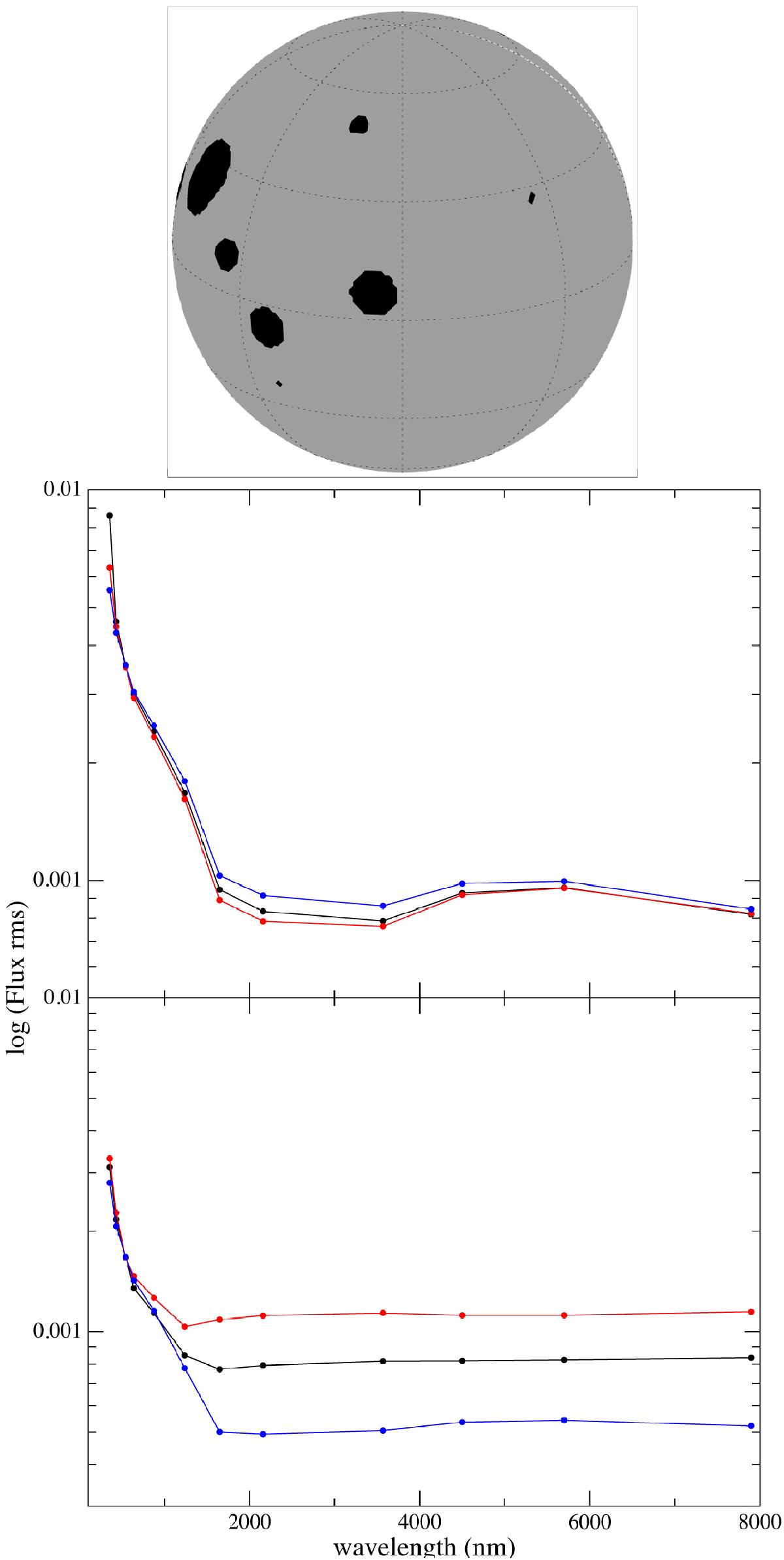
Fig. 8

Top panel: map of the initial distribution of active regions as used for the simulations in Sect. 3 for Q = 0.0. Middle panel: spectral signature (flux rms vs. wavelength) for three different configurations of active regions normalized to the same resulting rms in the Johnson V-band: ΔTspot = 310 K and (black line),
K and a 50% increase in the area of the spots (red line), and
K and a 50% decrease in the area of the spots (blue line). Bottom panel: same as the middle panel including facula regions with Q = 5.0 and ΔTfac = 30 K, where the red line corresponds to
K and the blue line to
K.
Current usage metrics show cumulative count of Article Views (full-text article views including HTML views, PDF and ePub downloads, according to the available data) and Abstracts Views on Vision4Press platform.
Data correspond to usage on the plateform after 2015. The current usage metrics is available 48-96 hours after online publication and is updated daily on week days.
Initial download of the metrics may take a while.