Free Access
Fig. A.2

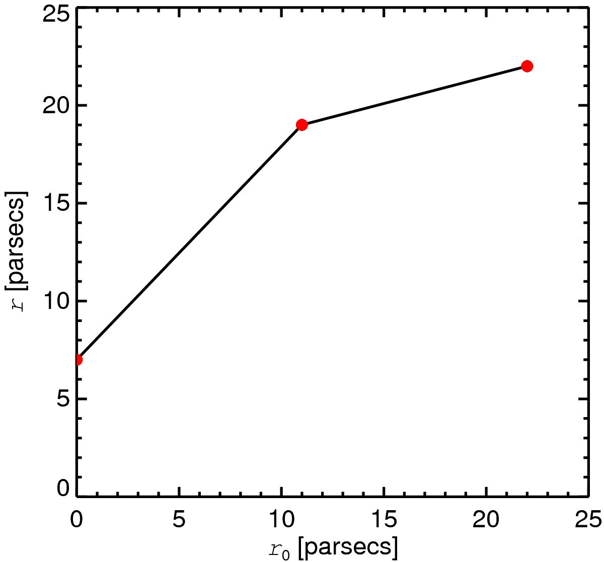
Radial expansion law derived from the three known radii in the initial, r0, and final, r, states (red filled circles). The black curve is described by a piecewise linear function of the form r = αr0 + β, with α = 1.09, β = 7 pc for and α = 0.27, β = 16 pc for
.
Current usage metrics show cumulative count of Article Views (full-text article views including HTML views, PDF and ePub downloads, according to the available data) and Abstracts Views on Vision4Press platform.
Data correspond to usage on the plateform after 2015. The current usage metrics is available 48-96 hours after online publication and is updated daily on week days.
Initial download of the metrics may take a while.