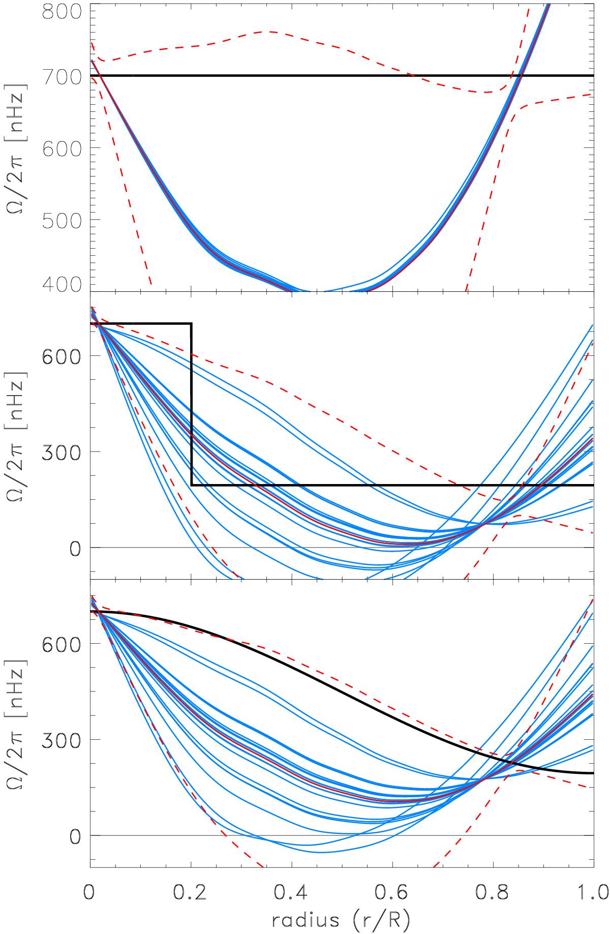
Fig. 4

Inverted rotation profiles for the perturbed models of KIC 7341231 (blue curves) with one realisation of the rotational splitting noise using ℓ = 1,2 splittings in the range 285 ≤ ν ≤ 480 μ Hz. The top panel shows the inversion results for solid body rotation, the middle panel for a step function profile, and the bottom panel for the smooth profile (all shown in solid black curves). The reference inversion (using the reference kernels for the forward and inverse problem) is shown in red, and the standard deviation (Eq. (4)) is the dashed red curve.
Current usage metrics show cumulative count of Article Views (full-text article views including HTML views, PDF and ePub downloads, according to the available data) and Abstracts Views on Vision4Press platform.
Data correspond to usage on the plateform after 2015. The current usage metrics is available 48-96 hours after online publication and is updated daily on week days.
Initial download of the metrics may take a while.