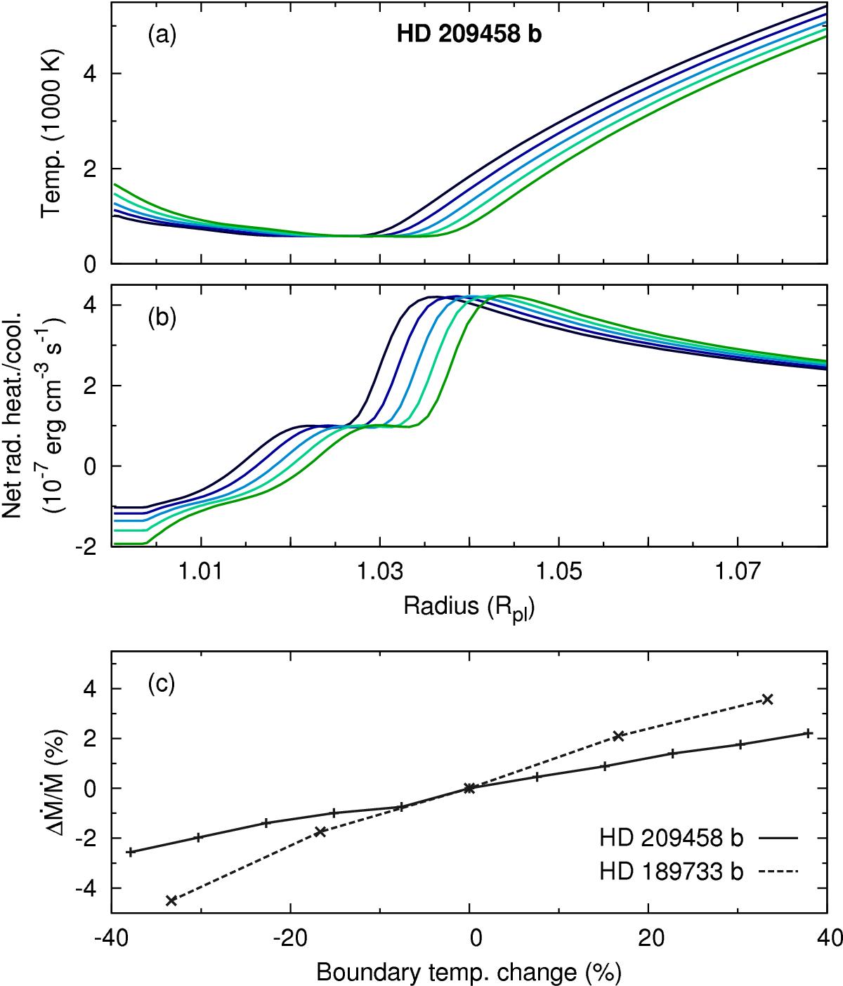
Fig. 3

Influence of the temperature at the lower boundary on the mass-loss rates. Temperature structure a) and the heating rate b) in the lower atmosphere of HD 209458 b are shown along with the change in the mass-loss rate c) in the planets HD 209458 b and HD 189733 b. The color scheme in panels a) and b) indicates the boundary temperature from −400 K (dark blue) to + 400 K (green). A higher boundary temperature results in a slightly higher mass-loss rate.
Current usage metrics show cumulative count of Article Views (full-text article views including HTML views, PDF and ePub downloads, according to the available data) and Abstracts Views on Vision4Press platform.
Data correspond to usage on the plateform after 2015. The current usage metrics is available 48-96 hours after online publication and is updated daily on week days.
Initial download of the metrics may take a while.