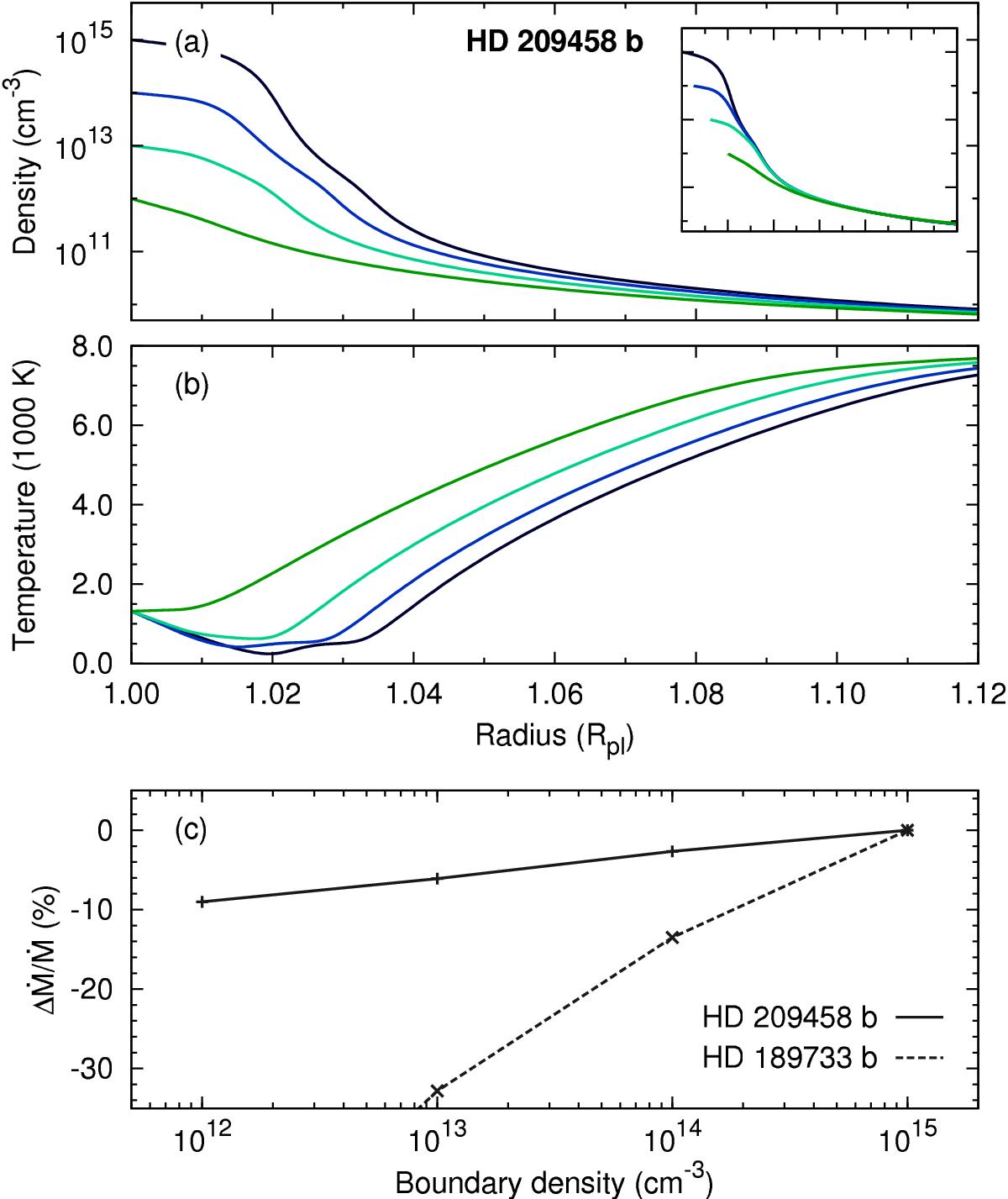
Fig. 4

Influence of the density at the lower boundary on the mass-loss rates. The density a) and the temperature b) in the lower atmosphere of HD 209458 b are depicted. The insert shows the density structures shifted to merge the profiles. Panel c) shows the change in the mass-loss rate in the two test simulations (HD 209458 b, HD 189733 b). The color scheme indicates the boundary density ranging from 1015 cm-3 (dark blue) to 1012 cm-3 (green). Reducing the boundary density by two orders of magnitude decreases the mass-loss rate by less than 40%.
Current usage metrics show cumulative count of Article Views (full-text article views including HTML views, PDF and ePub downloads, according to the available data) and Abstracts Views on Vision4Press platform.
Data correspond to usage on the plateform after 2015. The current usage metrics is available 48-96 hours after online publication and is updated daily on week days.
Initial download of the metrics may take a while.