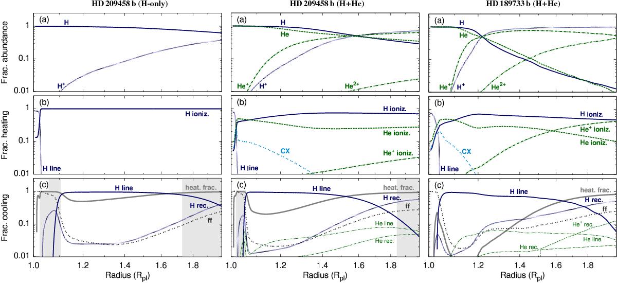
Fig. 6

Abundances and heating/cooling agents in the atmospheres of HD 209458 b (H-only), HD 209458 b (H+He), and HD 189733 b. Panels a) depict the fractional abundances in the three atmospheres; b) the contribution of individual radiative heating agents to the total heating rates; and c) the same for the cooling rates. In panel c) we also show the heating fraction by the solid thick gray line. Regions with little radiative cooling are shaded (heating fraction > 0.9). We show the atmospheres up to 2Rpl. The atmosphere of HD 189733 b shows weak oscillations. Labels are: hydrogen and helium line cooling/heating (H/He line); ionization heating of hydrogen, helium, or ionized helium (H/He/He+ ioniz.); charge transfer between neutral hydrogen and ionized helium (CX); recombination cooling of hydrogen, helium, or ionized helium (H/He/He+ rec.); free-free emission (ff); and heating fraction (heat. frac.).
Current usage metrics show cumulative count of Article Views (full-text article views including HTML views, PDF and ePub downloads, according to the available data) and Abstracts Views on Vision4Press platform.
Data correspond to usage on the plateform after 2015. The current usage metrics is available 48-96 hours after online publication and is updated daily on week days.
Initial download of the metrics may take a while.