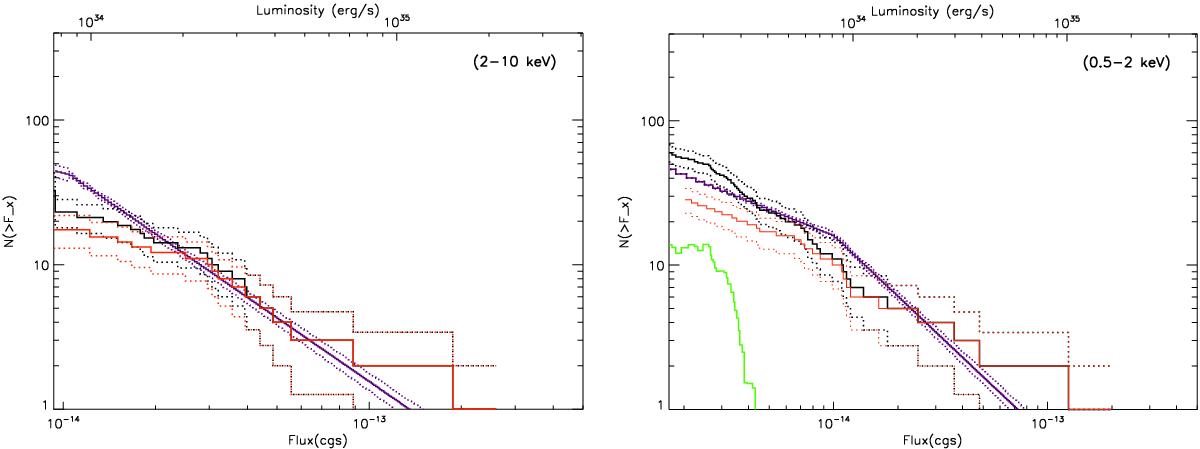
Fig. 11

Cumulative XLFs corrected for incompleteness, in the 2 − 10 keV (left panel) and 0.5 − 2 keV (right panel) energy bands. Black lines correspond to the XLFs without foreground stars, symbiotic systems, and binary candidates as classified in Sect. 4.3.2, corrected for incompleteness. Red lines show the XLFs of the classified AGNs. Blue lines are the AGN XLFs of Cappelluti et al. (2009). Green lines show the XLFs of X-ray sources after subtracting the contribution of the AGNs (blue lines) from X-ray sources in the dwarf galaxy (black lines). The dashed lines are the 90% confidence errors.
Current usage metrics show cumulative count of Article Views (full-text article views including HTML views, PDF and ePub downloads, according to the available data) and Abstracts Views on Vision4Press platform.
Data correspond to usage on the plateform after 2015. The current usage metrics is available 48-96 hours after online publication and is updated daily on week days.
Initial download of the metrics may take a while.