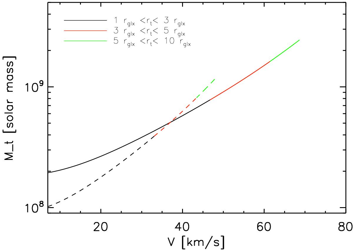
Fig. 12

Minimum mass of the extended dark matter halo of the Draco dSph, which is needed to hold a LMXB with the velocity V at the radius 1 kpc. The halo core radius is 0.70 kpc and the assumed mass is M = 5 × 107M⊙ (dashed line) or 8 × 108 M⊙ (solid line) within 0.96 kpc. The truncation radius changes with colours. Black, red, and green correspond to 3, 5, and 10 times the visible radius of the galaxy.
Current usage metrics show cumulative count of Article Views (full-text article views including HTML views, PDF and ePub downloads, according to the available data) and Abstracts Views on Vision4Press platform.
Data correspond to usage on the plateform after 2015. The current usage metrics is available 48-96 hours after online publication and is updated daily on week days.
Initial download of the metrics may take a while.