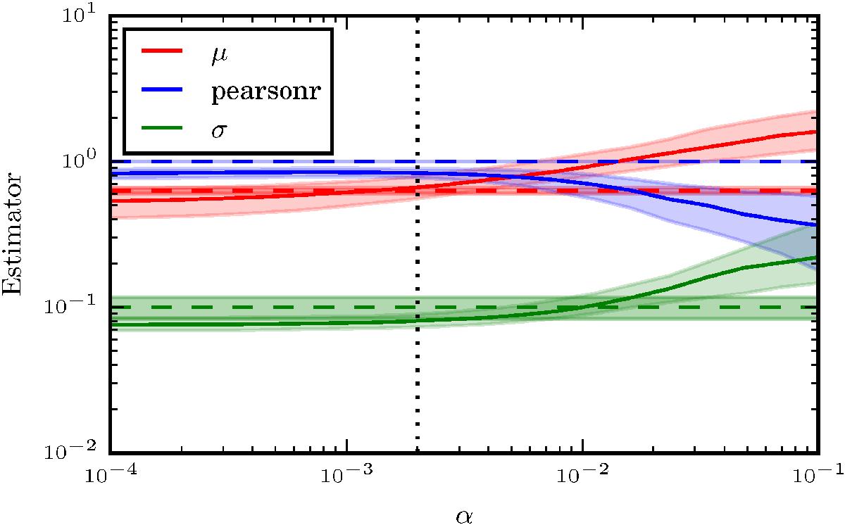
Fig. 8

Evaluation of the reconstructed CIB mean μ, CIB fluctuation amplitude σ and Pearson’s r of input CIB image and reconstruction. This is based on the smooth input GLM coefficients (third panel from the top in Fig. 7). Dashed lines indicate the input, solid lines the reconstructed quantities. Contours correspond to 1σ uncertainties. The vertical line indicates our choice of α.
Current usage metrics show cumulative count of Article Views (full-text article views including HTML views, PDF and ePub downloads, according to the available data) and Abstracts Views on Vision4Press platform.
Data correspond to usage on the plateform after 2015. The current usage metrics is available 48-96 hours after online publication and is updated daily on week days.
Initial download of the metrics may take a while.