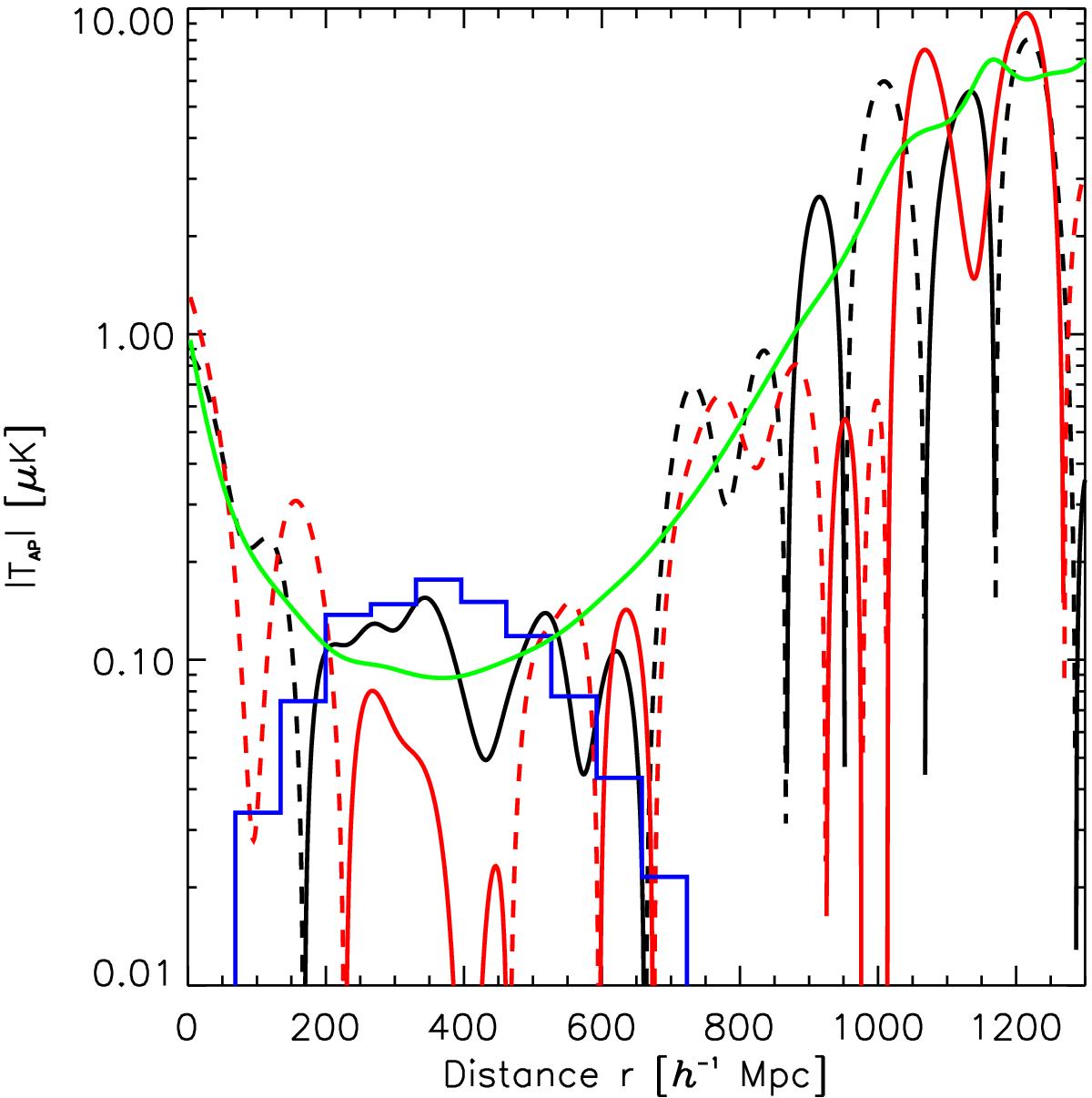
Fig. 1

Absolute value of versus distance to the observer after obtaining AP kSZ temperature estimates on the real positions of CGs (black line) and on a rotated CG configuration (red line). The green line provides the theoretical expectation for the rms of
, and the blue histogram displays the radial distribution of the CGs (see text for further details).
Current usage metrics show cumulative count of Article Views (full-text article views including HTML views, PDF and ePub downloads, according to the available data) and Abstracts Views on Vision4Press platform.
Data correspond to usage on the plateform after 2015. The current usage metrics is available 48-96 hours after online publication and is updated daily on week days.
Initial download of the metrics may take a while.