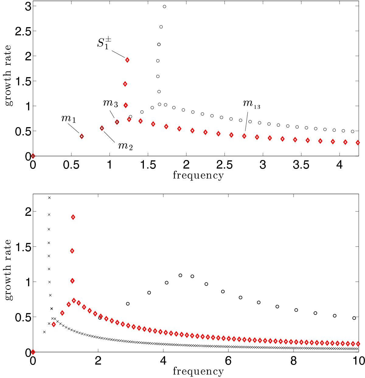
Fig. 1

Growth rates, Im(ω), and frequencies, Re(ω), of solutions of Eq. (8) subject to no-normal-flow boundary conditions at z = ± H, where H is in units of scale heights. Top panel: distribution shown for k = 2, and H = 5 (diamonds), and H = 7 (open circles). As H increases, more surface modes become activated and high-order body modes have increased growth rates. In both cases shown, the frequency and growth rates of low-order body modes (labeled m1,m2,m3) remain unchanged. The surface modes generally appear in pairs as indicated by labeling the topmost surface mode with the superscript . This panel confirms the trends reported by BL15. Bottom panel: distribution of the complex frequencies shown for differing values of k with fixed H = 5: k = 5 (crosses), k = 2 (diamonds), k = 0.5 (open circles). The growth rates increase without bound as k is decreased, with the same trend identified in the problem with no vertical boundaries as found in Expression (10). As k is increased, the number of surface modes increases, including the maximum growth rates which also confirms the results reported in BL15.
Current usage metrics show cumulative count of Article Views (full-text article views including HTML views, PDF and ePub downloads, according to the available data) and Abstracts Views on Vision4Press platform.
Data correspond to usage on the plateform after 2015. The current usage metrics is available 48-96 hours after online publication and is updated daily on week days.
Initial download of the metrics may take a while.