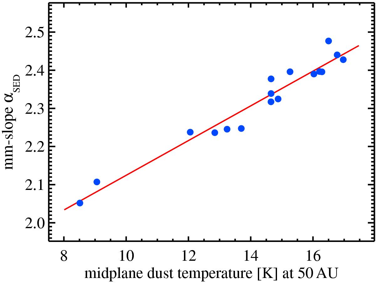
Fig. 11

Correlation between computed SED mm-slope (as measured between 850 μm and 1.3 mm) and midplane dust temperature at r = 50 AU for models with identical dust properties and disk mass. Varied parameters include gas/dust (at constant Mdust), Rin, Rtap, ϵ, γ, H(100 AU), β and αsettle, i.e. the green disk shape parameters in Fig. 10 and dust settling.
Current usage metrics show cumulative count of Article Views (full-text article views including HTML views, PDF and ePub downloads, according to the available data) and Abstracts Views on Vision4Press platform.
Data correspond to usage on the plateform after 2015. The current usage metrics is available 48-96 hours after online publication and is updated daily on week days.
Initial download of the metrics may take a while.