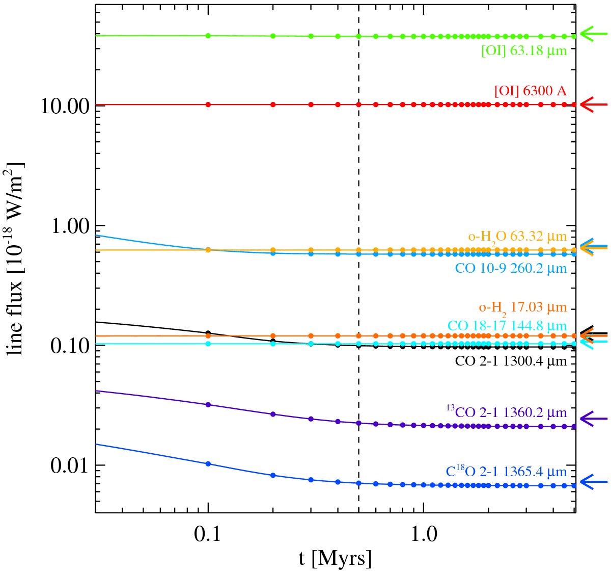
Fig. C.1

Computed line fluxes as function of disk age for the T Tauri reference model with time-dependent disk chemistry. Each vertical column of dots represents one disk model. The arrows on the r.h.s. indicate the results from the time-independent reference model. The vertical dashed line marks t = 0.5 Myr, after which the line fluxes do not change significantly any more.
Current usage metrics show cumulative count of Article Views (full-text article views including HTML views, PDF and ePub downloads, according to the available data) and Abstracts Views on Vision4Press platform.
Data correspond to usage on the plateform after 2015. The current usage metrics is available 48-96 hours after online publication and is updated daily on week days.
Initial download of the metrics may take a while.