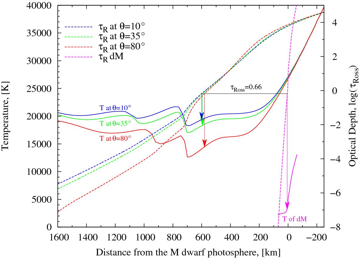
Fig. 8

Temperature structure of the atmosphere of the irradiated dM secondary star in the AA Dor system. The three irradiated zones for θ = 10°, 35°, and 80° are shown together with the structure of the unperturbed dM on the night side. The irradiated zones show several temperature inversion regions and an extension of the atmosphere. The photospheres are progressively higher and hotter toward the substellar point with respect to the dark side, as indicated by the arrows at τRoss = 0.66.
Current usage metrics show cumulative count of Article Views (full-text article views including HTML views, PDF and ePub downloads, according to the available data) and Abstracts Views on Vision4Press platform.
Data correspond to usage on the plateform after 2015. The current usage metrics is available 48-96 hours after online publication and is updated daily on week days.
Initial download of the metrics may take a while.