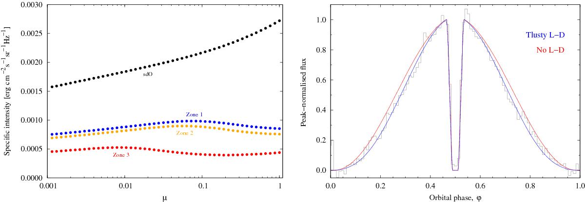
Fig. 9

Left: specific intensities for the sdO star and for the three irradiated zones on the M dwarf. Note, we use a logarithmic scale on the abscissa to better represent the centre-to-edge variations of the specific intensities, μ is the cosine of the polar angle (between the line of sight and the surface normal at a given point on the companion) that takes the value 1 in the disk centre and 0 on the edge. There is only a little difference between the substellar zone (No. 1) and the intermediate zone (No. 2), but the terminator zone (No. 3) is substantially fainter. Each zone shows a moderate brightening towards the limb. Right: effects of limb darkening on the phase profile. The three-zone Tlusty model only provides a marginally better fit than a flat surface intensity distribution of the companion.
Current usage metrics show cumulative count of Article Views (full-text article views including HTML views, PDF and ePub downloads, according to the available data) and Abstracts Views on Vision4Press platform.
Data correspond to usage on the plateform after 2015. The current usage metrics is available 48-96 hours after online publication and is updated daily on week days.
Initial download of the metrics may take a while.