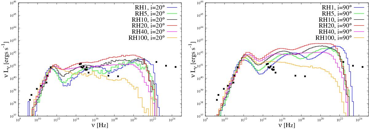
Fig. 3

Electromagnetic spectrum of GRMHD models computed at i = 20° and i = 90° based on models RH1-RH100 overplotted with the observations of M 87 collected in Abdo et al. (2009). Synchrotron emission appears in the SED as a hump around 230 GHz, and the higher order humps (second and third ones) are due to inverse-Compton emission.
Current usage metrics show cumulative count of Article Views (full-text article views including HTML views, PDF and ePub downloads, according to the available data) and Abstracts Views on Vision4Press platform.
Data correspond to usage on the plateform after 2015. The current usage metrics is available 48-96 hours after online publication and is updated daily on week days.
Initial download of the metrics may take a while.