Free Access
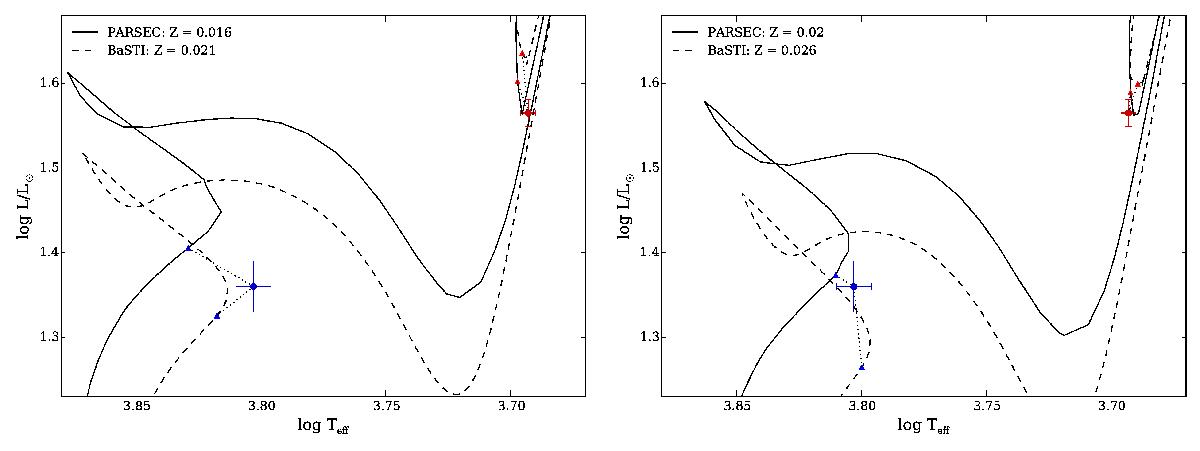
Fig. 4

Isochrones from the PARSEC (solid line) and BaSTI (dashed line) stellar evolution models for different metallicities, [Fe/H] = 0.02 dex (left) and 0.12 dex (right). The primary is indicated with a red dot, and the secondary in blue. The triangles denote the location of each component according to their corresponding mass.
This figure is made of several images, please see below:
Current usage metrics show cumulative count of Article Views (full-text article views including HTML views, PDF and ePub downloads, according to the available data) and Abstracts Views on Vision4Press platform.
Data correspond to usage on the plateform after 2015. The current usage metrics is available 48-96 hours after online publication and is updated daily on week days.
Initial download of the metrics may take a while.