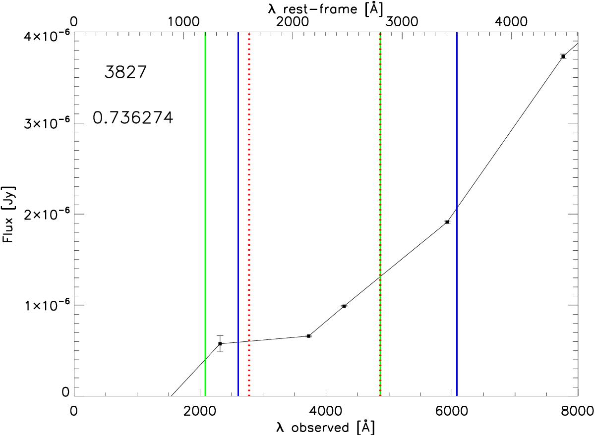
Fig. A.2

Method for computing βphot for the source 3213 (ID MUSIC). The figure also specifies the redshift of the source. The black open diamonds are the observed photometry, connected with a linear interpolation (black solid line). The green vertical lines highlight the rest-frame spectral range considered to compute M1, while the blue vertical lines outline the range for the computation of M2. The two dash-dot red lines show the positions of 1600 Å and 2800 Å rest frame, respectively.
Current usage metrics show cumulative count of Article Views (full-text article views including HTML views, PDF and ePub downloads, according to the available data) and Abstracts Views on Vision4Press platform.
Data correspond to usage on the plateform after 2015. The current usage metrics is available 48-96 hours after online publication and is updated daily on week days.
Initial download of the metrics may take a while.