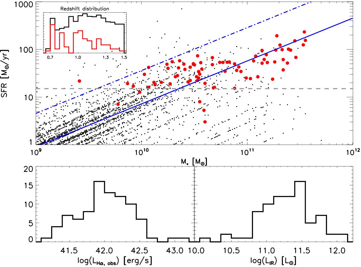
Fig. 2

Location of our sample (red filled circles) in the SFR-M⋆ space, compared with the distribution of the all 3D-HST galaxies (black dots) in the same redshift range. The blue solid line represents the main sequence at z ~ 1 (Elbaz et al. 2007) and the dot-dashed blue line the 4 × MS. The gray dashed line represents the SFR corresponding to the 3σ flux limit at 160 μm (fλ = 2.4 mJy) for a typical main-sequence galaxy, derived using the median SEDs of Magdis et al. (2012). The inset shows the redshift distribution for this work sample (red curve) compared to the complete 3D-HST sample in the same redshift range (black curve). The lower panel on the left is the distribution of the observed Hα luminosities for our sample (not corrected for dust attenuation) and the lower panel on the right shows the distribution of LIR.
Current usage metrics show cumulative count of Article Views (full-text article views including HTML views, PDF and ePub downloads, according to the available data) and Abstracts Views on Vision4Press platform.
Data correspond to usage on the plateform after 2015. The current usage metrics is available 48-96 hours after online publication and is updated daily on week days.
Initial download of the metrics may take a while.