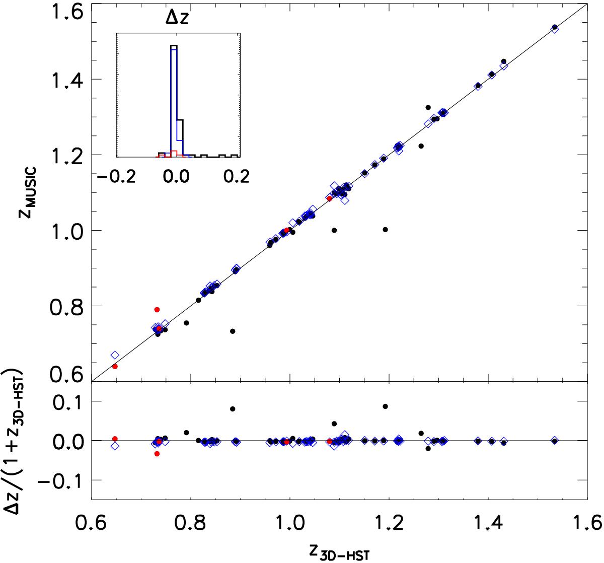
Fig. 6

Upper panel: relation between 3D-HST spectroscopic redshifts (x-axis) and MUSIC redshifts. In the inset, the distribution of the absolute scatter Δz = (z3D−HST−zMUSIC) is shown. The standard deviation for this distribution is σ = 0.031. The red histogram highlights the absolute scatter for photometric MUSIC redshifts. The blue histogram represents the absolute scatter between our measurements and the redshifts from Morris et al. (2015). Lower panel: relative scatter (z3D−HST-zMUSIC)/(1+z3D−HST). The data points in red are the photometric redshifts in the MUSIC catalog, the black dots are the sources with spectroscopic redshift even in the MUSIC catalog from ground based measurements. The blue open diamonds are the redshifts measured by Morris et al.
Current usage metrics show cumulative count of Article Views (full-text article views including HTML views, PDF and ePub downloads, according to the available data) and Abstracts Views on Vision4Press platform.
Data correspond to usage on the plateform after 2015. The current usage metrics is available 48-96 hours after online publication and is updated daily on week days.
Initial download of the metrics may take a while.