Free Access
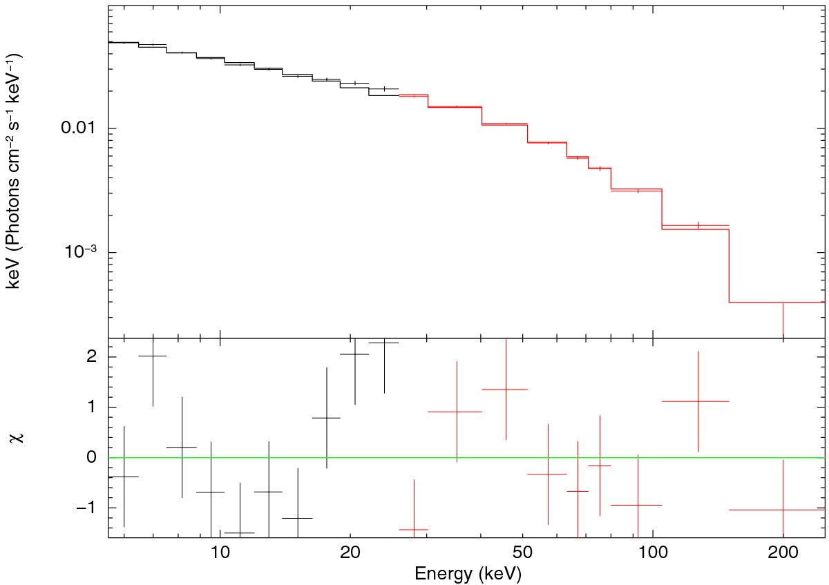
Fig. 3

Top: overall, average persistent emission spectrum as seen by JEM-X (5–25 keV) and IBIS/ISGRI (25–200 keV). The spectrum has been fitted with a cut-off power law with photon index of 1.5 and a high energy cut-off at 57 keV (see text). Bottom: Residuals from the above fit in units of χ.
Current usage metrics show cumulative count of Article Views (full-text article views including HTML views, PDF and ePub downloads, according to the available data) and Abstracts Views on Vision4Press platform.
Data correspond to usage on the plateform after 2015. The current usage metrics is available 48-96 hours after online publication and is updated daily on week days.
Initial download of the metrics may take a while.