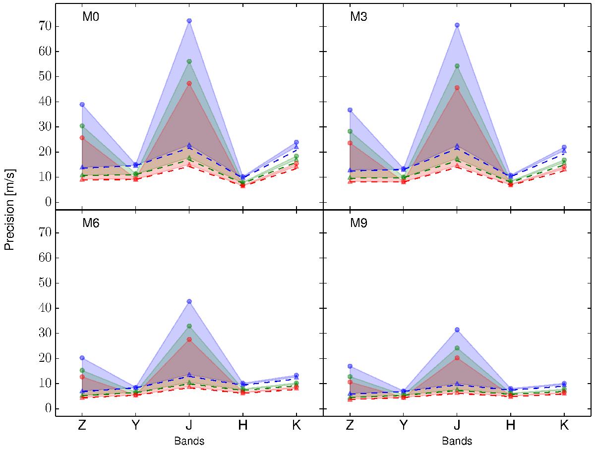
Fig. 2

Precision achieved as a function of spectral band for stars with a rotational velocity of v sin i = 5.0 km s-1 and spectral types M0, M3, M6, and M9. The dashed line represents the theoretical limits imposed by condition 1, and the filled area represents the values within the limits set by conditions 2 (circles) and 3 (triangles); blue, green and red represent the results obtained for resolutions of 60 000, 80 000, and 100 000, respectively. The spectra were normalized to have a S/N of 100 per resolution element as measured at the center of the J band (see Sect. 2 for details).
Current usage metrics show cumulative count of Article Views (full-text article views including HTML views, PDF and ePub downloads, according to the available data) and Abstracts Views on Vision4Press platform.
Data correspond to usage on the plateform after 2015. The current usage metrics is available 48-96 hours after online publication and is updated daily on week days.
Initial download of the metrics may take a while.