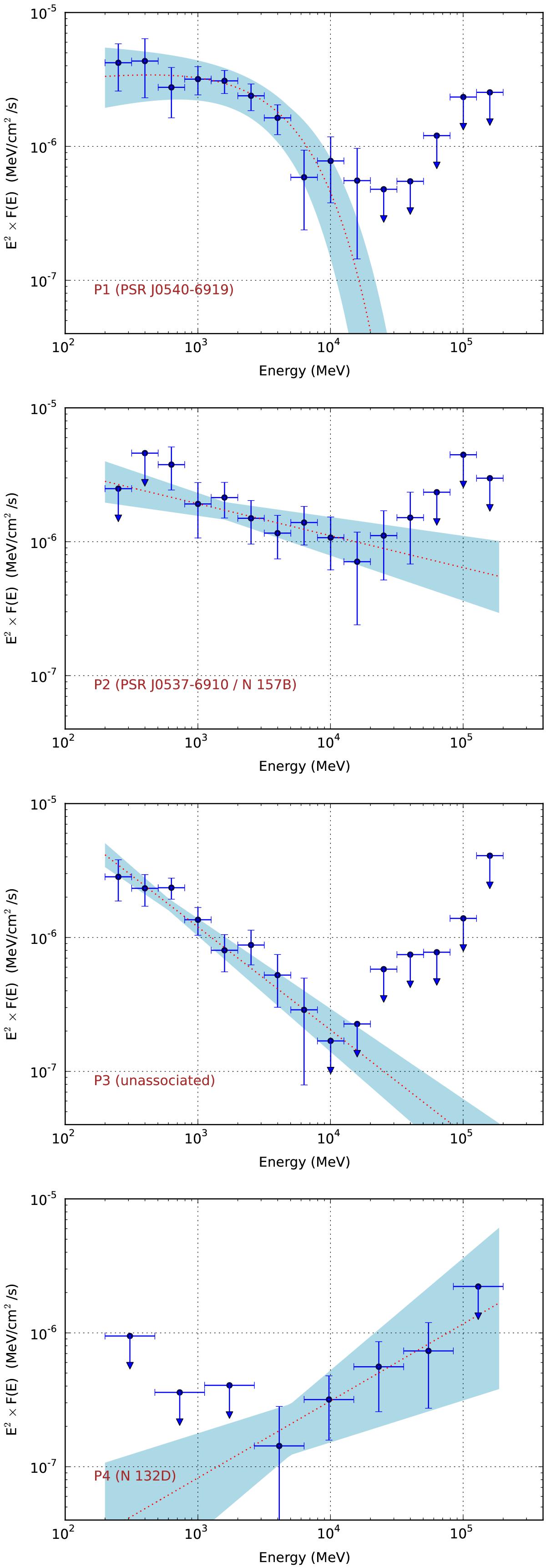
Fig. 5

Spectra of the four point-like sources found in the LMC, from top to bottom P1 to P4, as listed in Table 1. We show spectral points obtained by fits in individual bins, together with the best-fit spectral model from a binned likelihood analysis over the full energy range. The spectrum of the weakest source P4 features coarser binning in energy. Upper limits (arrows) correspond to a 95% confidence level.
Current usage metrics show cumulative count of Article Views (full-text article views including HTML views, PDF and ePub downloads, according to the available data) and Abstracts Views on Vision4Press platform.
Data correspond to usage on the plateform after 2015. The current usage metrics is available 48-96 hours after online publication and is updated daily on week days.
Initial download of the metrics may take a while.