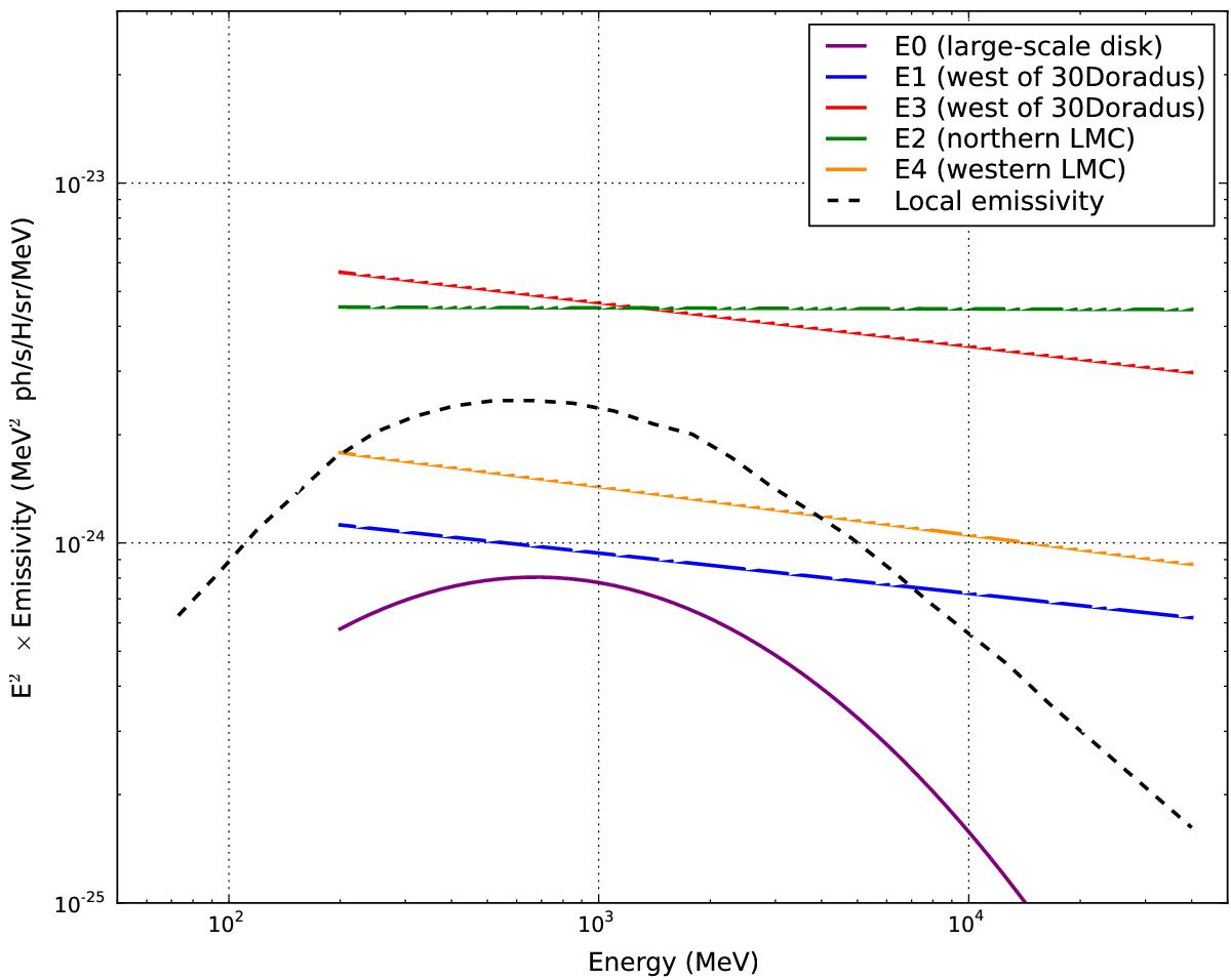
Fig. 9

Emissivity spectra of the five components of the emissivity model, obtained by dividing the fitted spectrum for that component by the average column density over the region, weighted by the 2D Gaussian emissivity profile. The dashed line is the local Galactic emissivity spectrum from Casandjian (2012), given here for comparison.
Current usage metrics show cumulative count of Article Views (full-text article views including HTML views, PDF and ePub downloads, according to the available data) and Abstracts Views on Vision4Press platform.
Data correspond to usage on the plateform after 2015. The current usage metrics is available 48-96 hours after online publication and is updated daily on week days.
Initial download of the metrics may take a while.