Fig. 5

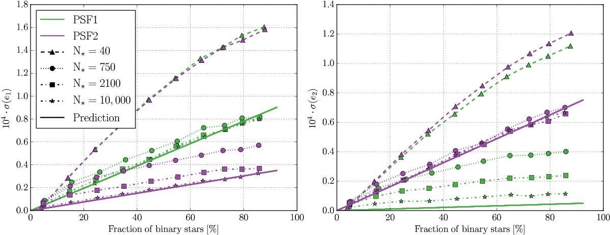
PSF reconstruction errors on the two ellipticity components, e1 (left) and e2 (right). These plots correspond to the two panels in the lower left corner of Fig. 4, but we now show the effect of changing the number of stars, N⋆, used in the stack. Depending on the intrinsic ellipticity of the PSF (see Table 2), thousands of stars are needed to avoid being dominated by the shot noise.
Current usage metrics show cumulative count of Article Views (full-text article views including HTML views, PDF and ePub downloads, according to the available data) and Abstracts Views on Vision4Press platform.
Data correspond to usage on the plateform after 2015. The current usage metrics is available 48-96 hours after online publication and is updated daily on week days.
Initial download of the metrics may take a while.