Free Access
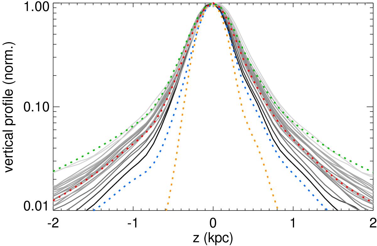
Fig. 5

Vertical profiles at 100 μm as measured in different radial regions. A vertical cut of the PSF (orange) and of the LSF (blue) is indicated. The vertical profile for the whole galaxy and for Region X are shown in red and green, respectively.
Current usage metrics show cumulative count of Article Views (full-text article views including HTML views, PDF and ePub downloads, according to the available data) and Abstracts Views on Vision4Press platform.
Data correspond to usage on the plateform after 2015. The current usage metrics is available 48-96 hours after online publication and is updated daily on week days.
Initial download of the metrics may take a while.