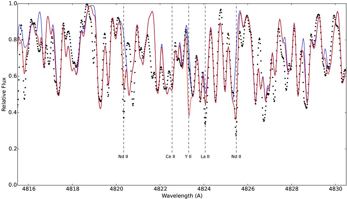
Fig. 5

Effect of a general increase by 2.0 dex of s-process elements (red line), as compared to their solar abundances (blue line). Compare with Fig. 5 of Reyniers et al. (2007). The Y ii line around 4823.3 Å is not as enhanced as the other s-process lines (red line). A better match to the Y abundance is obtained with [Y/Fe] = 0.5 dex (black line). Except otherwise stated, the atmospheric parameters used to generate the synthetic spectra are those listed in Table 4.
Current usage metrics show cumulative count of Article Views (full-text article views including HTML views, PDF and ePub downloads, according to the available data) and Abstracts Views on Vision4Press platform.
Data correspond to usage on the plateform after 2015. The current usage metrics is available 48-96 hours after online publication and is updated daily on week days.
Initial download of the metrics may take a while.