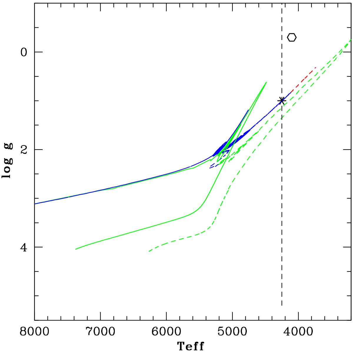
Fig. 8

Evolutionary track in the (Teff, log g) diagram for a 0.9 M⊙ star of metallicity [Fe/H] = −2.4, computed with the STAREVOL code, with an atmosphere that is either oxygen-rich (solid track) or carbon-rich (dashed track, corresponding to log ϵ(C) = 8.2 or [C/H] =−0.23). The oxygen-rich track is limited to the giant and horizontal branches (green and blue parts of the track, respectively), whereas the carbon-rich track includes the AGB (red part of the track) as well. The vertical dashed line corresponds to Teff = 4250 K. The location of HE 0017+0055 as inferred from the parameters of Table 4 is indicated with the star symbol, whereas that of CS 30322-023 is indicated with the open circle.
Current usage metrics show cumulative count of Article Views (full-text article views including HTML views, PDF and ePub downloads, according to the available data) and Abstracts Views on Vision4Press platform.
Data correspond to usage on the plateform after 2015. The current usage metrics is available 48-96 hours after online publication and is updated daily on week days.
Initial download of the metrics may take a while.