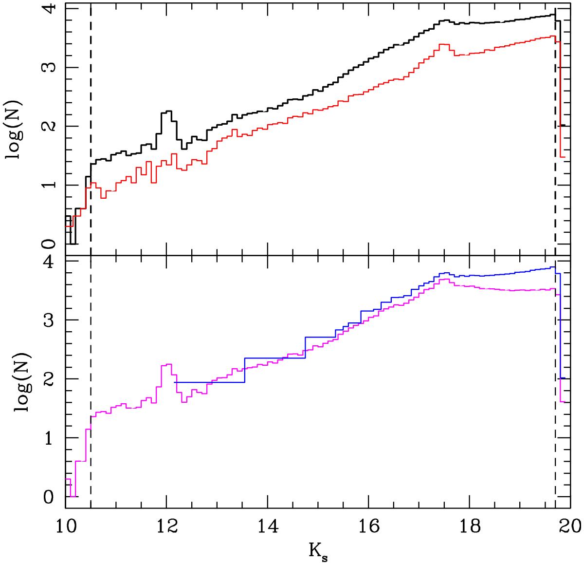
Fig. 4

Distribution of VMC sources in tile SMC 5_2 as a function of magnitude. Bins are 0.1 mag wide. The top panel shows the distribution of all sources (upper histogram) and of the sources excluding the main area occupied by 47 Tuc (ρ> 27′; lower histogram). The bottom panel shows the distribution for sources classified as stars (magenta) and galaxies (blue), with (J − Ks) > 1 mag and Ks> 12.5 mag, by the VDFS pipeline. Vertical lines delimit the range of highest completeness.
Current usage metrics show cumulative count of Article Views (full-text article views including HTML views, PDF and ePub downloads, according to the available data) and Abstracts Views on Vision4Press platform.
Data correspond to usage on the plateform after 2015. The current usage metrics is available 48-96 hours after online publication and is updated daily on week days.
Initial download of the metrics may take a while.