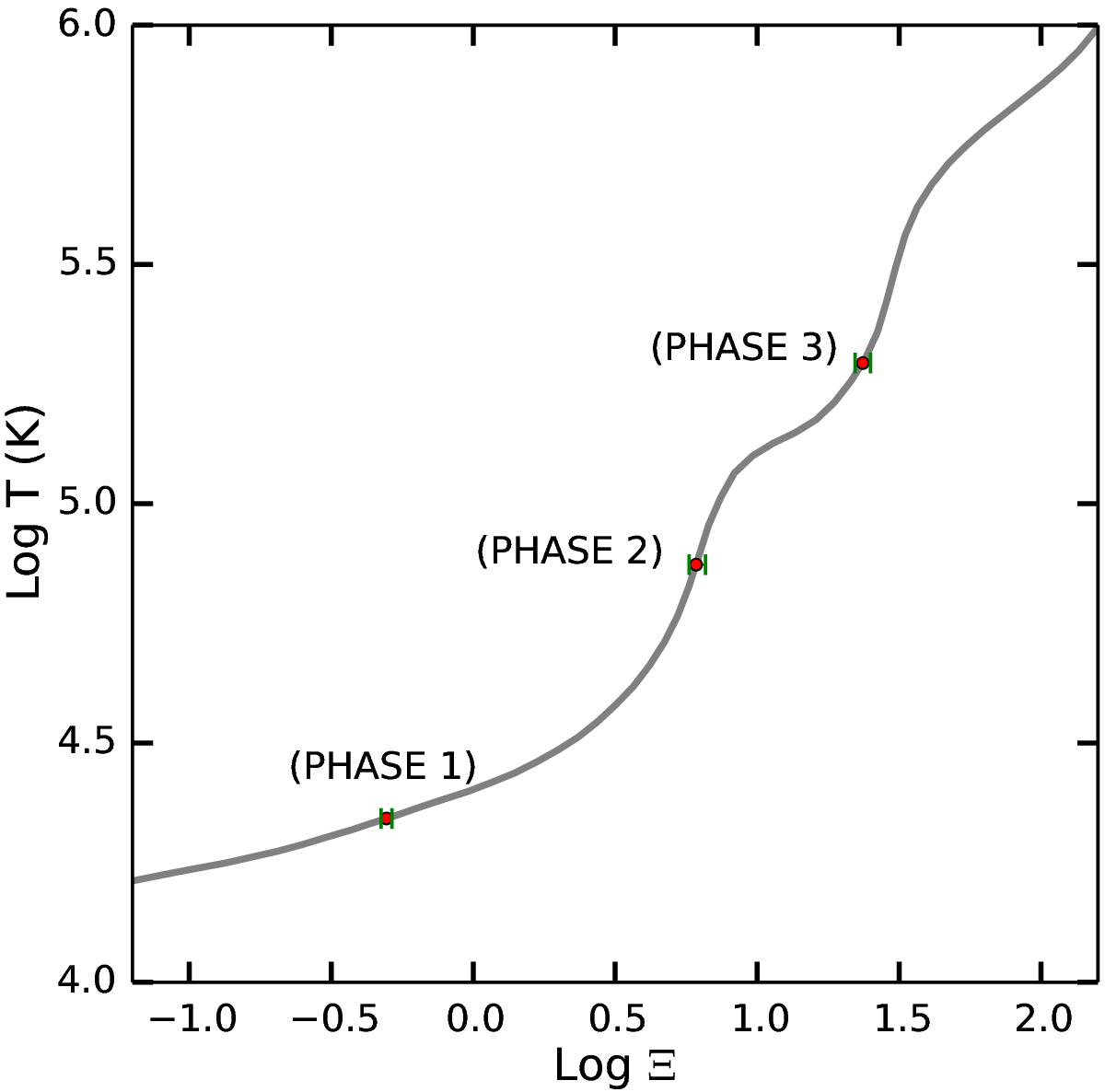
Fig. 7

Stability curve with the positions indicated of the three warm absorbers from our best fit for Ark 564. The absence of a region with negative slope on the S-curve indicates there are no unstable regions i.e. gas can exist in equilibrium throughout the curve. This is likely due to the steep soft-excess seen in Ark 564, which allows gas to cool efficiently by lowering the Compton temperature. (Marker size exaggerated to show against small error bars in green.)
Current usage metrics show cumulative count of Article Views (full-text article views including HTML views, PDF and ePub downloads, according to the available data) and Abstracts Views on Vision4Press platform.
Data correspond to usage on the plateform after 2015. The current usage metrics is available 48-96 hours after online publication and is updated daily on week days.
Initial download of the metrics may take a while.