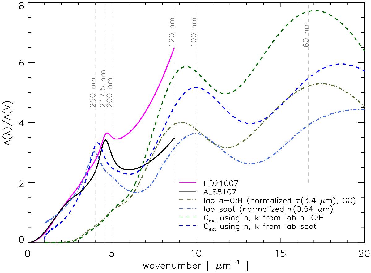
Fig. 8

Normalized extinction, A(λ) /A(V), of representative lines of sight from Fitzpatrick & Massa (2007; solid purple and black). Laboratory spectra for an a-C:H re-normalized to the optical depth of the observed 3.4 μm band (dotted green) and renormalized laboratory soot spectra to its V-band optical depth (dotted blue). Calculated extinction curves from laboratory derived optical constants for an a-C:H (dashed green curve) and a soot (dashed blue).
Current usage metrics show cumulative count of Article Views (full-text article views including HTML views, PDF and ePub downloads, according to the available data) and Abstracts Views on Vision4Press platform.
Data correspond to usage on the plateform after 2015. The current usage metrics is available 48-96 hours after online publication and is updated daily on week days.
Initial download of the metrics may take a while.