Free Access
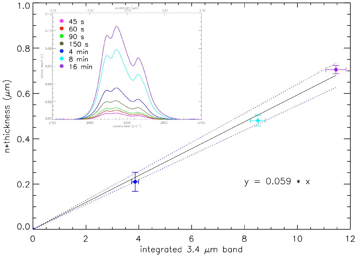
Fig. A.1

Correlation between n*thickness of films (d > 300 nm) vs. the integrated 3.4 μm band area. This is used to estimate n*thickness for the ultra-thin films (d < 100 nm) using their integrated 3.4 μm values. The inset shows the 3.4 μm band of a-C:H films produced with different deposition times.
Current usage metrics show cumulative count of Article Views (full-text article views including HTML views, PDF and ePub downloads, according to the available data) and Abstracts Views on Vision4Press platform.
Data correspond to usage on the plateform after 2015. The current usage metrics is available 48-96 hours after online publication and is updated daily on week days.
Initial download of the metrics may take a while.