Free Access
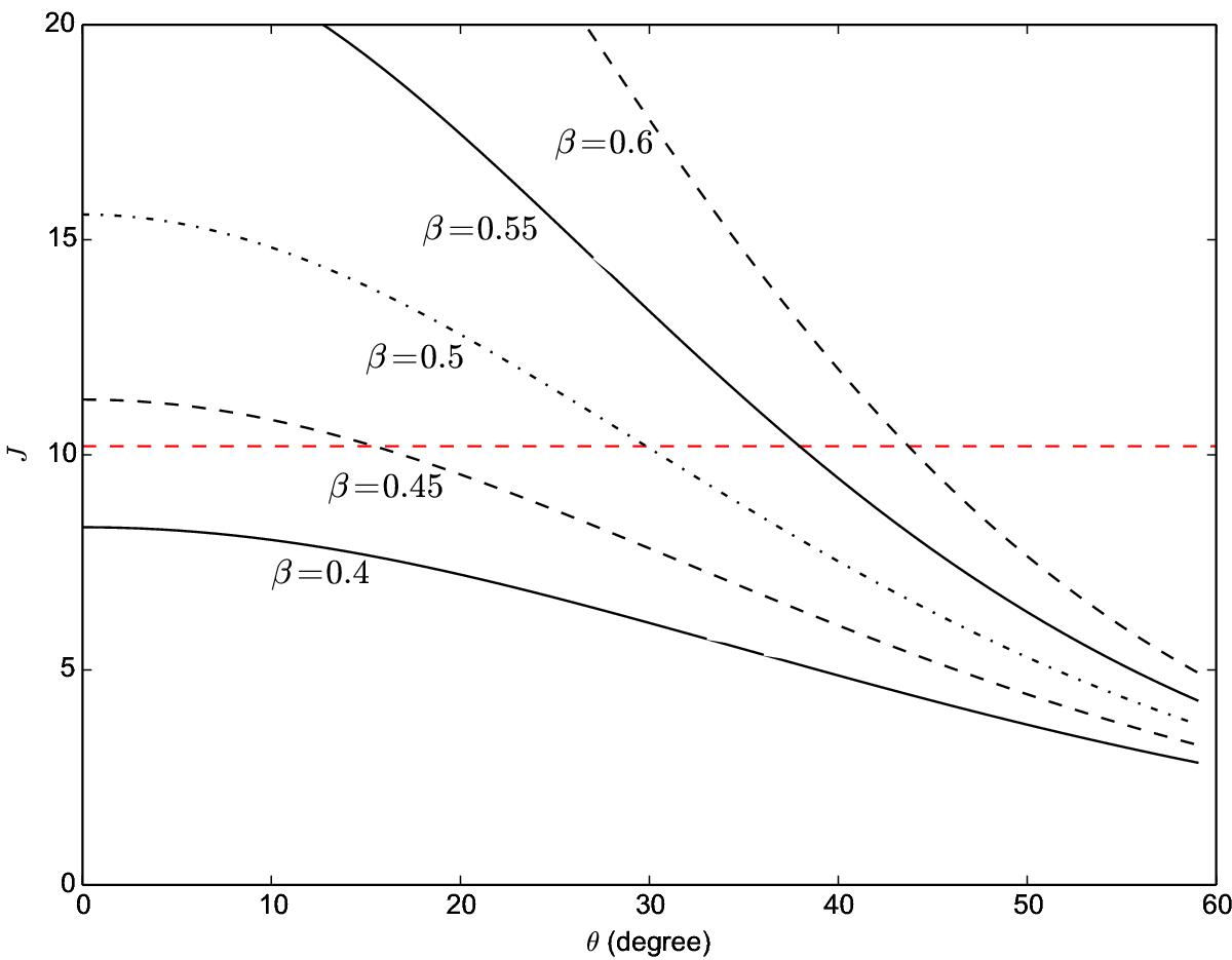
Fig. 8

Jet/counter-jet ratio J for an exponent p = 2.5 as a function of the viewing angle θ. The curves for different bulk velocities β are plotted. The horizontal line (dashed red line) indicates the flux ratio in PKS 0521-365.
Current usage metrics show cumulative count of Article Views (full-text article views including HTML views, PDF and ePub downloads, according to the available data) and Abstracts Views on Vision4Press platform.
Data correspond to usage on the plateform after 2015. The current usage metrics is available 48-96 hours after online publication and is updated daily on week days.
Initial download of the metrics may take a while.