Free Access
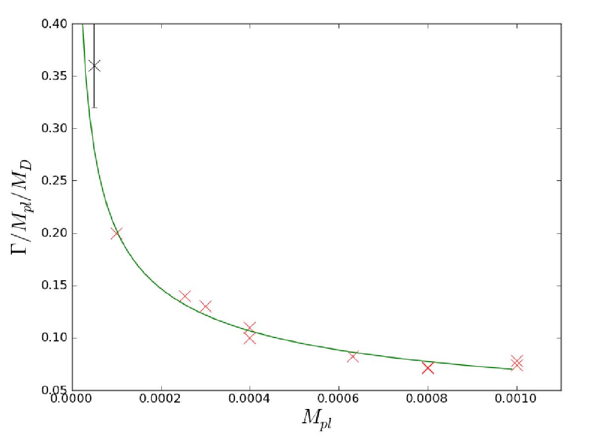
Fig. 11

Variation of the average torque standard deviation with planet mass for the late escaping planets of the sample (more than 10 000 orbits): red crosses. The black dot with error bars corresponds to case 6. The green curve shows the best fit by a power law: .
Current usage metrics show cumulative count of Article Views (full-text article views including HTML views, PDF and ePub downloads, according to the available data) and Abstracts Views on Vision4Press platform.
Data correspond to usage on the plateform after 2015. The current usage metrics is available 48-96 hours after online publication and is updated daily on week days.
Initial download of the metrics may take a while.