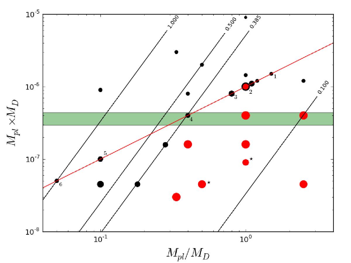
Fig. 6

Synthetic summary of runs that sample the parameter space. The point size is directly related to the planet escaping time by . Red points denote runs that have been stopped before the planet escapes. The size is set by the simulation time instead of escaping time. Numbered points refer to the run # in Table 1. Starred points correspond to the two main cases (A and B) described in Sect. 3.1 and displayed in Fig. 1. The parameter space region where the theoretical migration speed of a planet in a power-law disk equals the vortex migration speed (criterion Eq. (17)) is coloured in green. Isocontours of normalised torque deviation given by Eq. (21)are drawn in black.
Current usage metrics show cumulative count of Article Views (full-text article views including HTML views, PDF and ePub downloads, according to the available data) and Abstracts Views on Vision4Press platform.
Data correspond to usage on the plateform after 2015. The current usage metrics is available 48-96 hours after online publication and is updated daily on week days.
Initial download of the metrics may take a while.