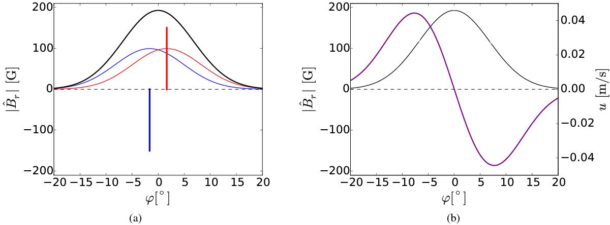
Fig. 1

Left: two concentrations of flux of different polarity (thick, vertical lines), smoothed absolute value of the magnetic field of the separate concentrations (red and blue Gaussian curves), and smoothed absolute value of the total magnetic field. Right: smoothed absolute value of the total magnetic field (black line) and inflow velocity profile resulting from Eq. (3)(purple line). We have assumed a flux of 4 × 1018 Mx for the single concentrations.
Current usage metrics show cumulative count of Article Views (full-text article views including HTML views, PDF and ePub downloads, according to the available data) and Abstracts Views on Vision4Press platform.
Data correspond to usage on the plateform after 2015. The current usage metrics is available 48-96 hours after online publication and is updated daily on week days.
Initial download of the metrics may take a while.