Free Access
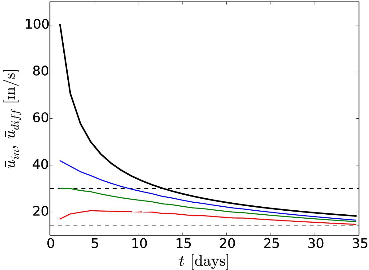
Fig. 6

Thick black line: for the case under discussion (α0 = 7°, λ0 = 30°). Colored lines:
for 0 (red), 10 (green) and 20 Mm from the origin. Dashed lines: shear flow velocities at ~ 12° (lower) and ~ 14° poleward from the central latitude.
Current usage metrics show cumulative count of Article Views (full-text article views including HTML views, PDF and ePub downloads, according to the available data) and Abstracts Views on Vision4Press platform.
Data correspond to usage on the plateform after 2015. The current usage metrics is available 48-96 hours after online publication and is updated daily on week days.
Initial download of the metrics may take a while.