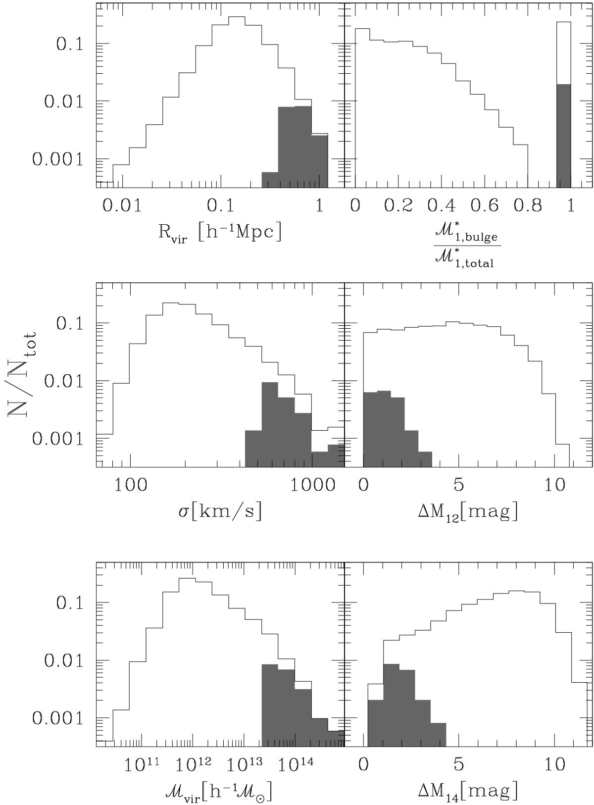
Fig. 1

Distribution of properties of the semi-analytic galaxy groups: 3D virial radius (top left panel), 3D velocity dispersion (middle left panel), virial mass (bottom left panel), ratio between stellar mass in bulge and total stellar mass of the first-ranked galaxy (top right panel), difference between the r-band absolute magnitude of the first- and second-ranked galaxies within half a virial radius (middle right panel), and difference between the r-band absolute magnitude of the first- and fourth-ranked galaxies within half a virial radius (middle right panel). Empty histograms correspond to FoF groups with 10 or more galaxy members, while grey histograms correspond to the 102 FoF groups that have virial masses higher than 1013.5h-1ℳ⊙ and whose brightest galaxy is an elliptical galaxy (ℳ∗1,bulge/ ℳ∗1,total> 0.7).
Current usage metrics show cumulative count of Article Views (full-text article views including HTML views, PDF and ePub downloads, according to the available data) and Abstracts Views on Vision4Press platform.
Data correspond to usage on the plateform after 2015. The current usage metrics is available 48-96 hours after online publication and is updated daily on week days.
Initial download of the metrics may take a while.