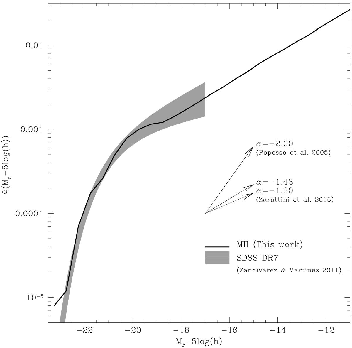
Fig. 2

Luminosity function of galaxies in groups. The solid line is the luminosity function for semi-analytical galaxies in groups with virial masses higher than 1013.5h-1ℳ⊙ and whose brightest galaxy is an elliptical galaxy. Grey region show the results for galaxies in groups in the SDSS DR7 obtained by Zandivarez & Martínez (2011). Upper and lower arrows represent the faint end slope of the luminosity function obtained by Popesso et al. (2005) and Zarattini et al. (2015), while middle arrow correspond to the value obtained in this work.
Current usage metrics show cumulative count of Article Views (full-text article views including HTML views, PDF and ePub downloads, according to the available data) and Abstracts Views on Vision4Press platform.
Data correspond to usage on the plateform after 2015. The current usage metrics is available 48-96 hours after online publication and is updated daily on week days.
Initial download of the metrics may take a while.