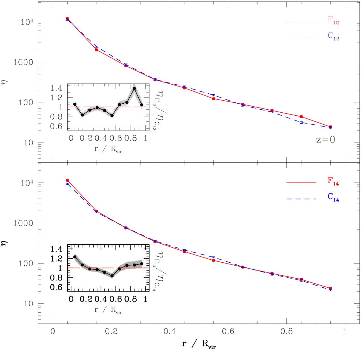
Fig. 4

Number density profiles of faint galaxies in fossil and control groups. The upper panel shows the number density of faint galaxies in fossils F12 and control C12 groups as a function of the 3D normalised distance to the centre of the groups. The lower panel shows the same situation as in the top panel for fossils F14 and control C14 groups. Error bars are computed using the bootstrap resampling technique. Inset panels show the ratio between the number density profiles in fossils and controls. Error bars are computed via error propagation.
Current usage metrics show cumulative count of Article Views (full-text article views including HTML views, PDF and ePub downloads, according to the available data) and Abstracts Views on Vision4Press platform.
Data correspond to usage on the plateform after 2015. The current usage metrics is available 48-96 hours after online publication and is updated daily on week days.
Initial download of the metrics may take a while.