Free Access
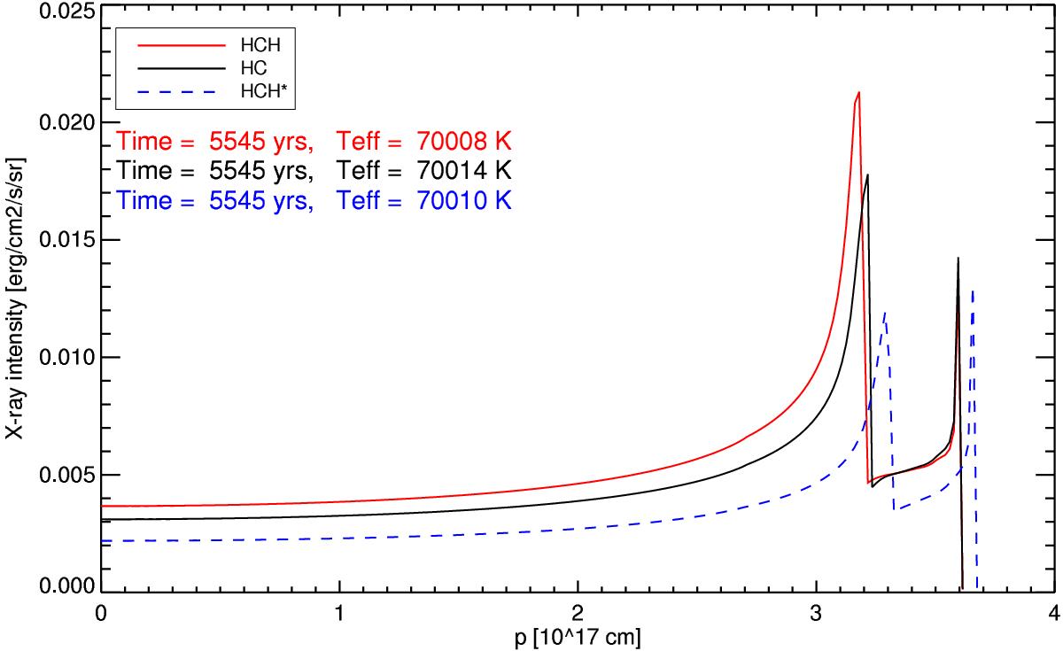
Fig. 11

Synthetic (unabsorbed) X-ray surface brightness integrated over the energy range 0.3−2.0 keV versus the impact parameter p for the three models HC (black solid line), HCH (red solid line), and HC (blue dotted line) at t = 5545 yr and Teff ≈ 70 000 K.
Current usage metrics show cumulative count of Article Views (full-text article views including HTML views, PDF and ePub downloads, according to the available data) and Abstracts Views on Vision4Press platform.
Data correspond to usage on the plateform after 2015. The current usage metrics is available 48-96 hours after online publication and is updated daily on week days.
Initial download of the metrics may take a while.