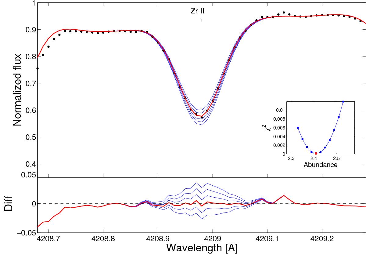
Fig. 1

Synthesis of the Zr ii line at 4208 Å in the solar spectrum (in this case Vesta, observed with the MIKE spectrograph in January 2006). The upper panel shows synthetic spectra with different Zr abundances in steps of 0.04 dex (blue lines). The difference between the observed spectrum and the synthetic spectra is plotted in the lower panel with the best abundance spectrum plotted as a red line in both the upper and lower panels. The inset shows the χ2 fit to determine the best abundance value expressed as log ϵ(Zr) (shown as a red dot).
Current usage metrics show cumulative count of Article Views (full-text article views including HTML views, PDF and ePub downloads, according to the available data) and Abstracts Views on Vision4Press platform.
Data correspond to usage on the plateform after 2015. The current usage metrics is available 48-96 hours after online publication and is updated daily on week days.
Initial download of the metrics may take a while.