Free Access
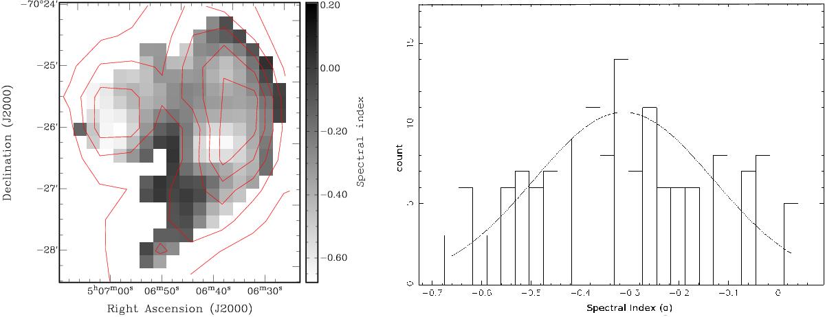
Fig. 4

Left: spectral index map between 20 and 6 cm for MCSNR J0506−7025. The contours are the same 36 cm contours as shown in Fig. 3. Right: histogram of the distribution of spectral index values from the spectral map in left.
Current usage metrics show cumulative count of Article Views (full-text article views including HTML views, PDF and ePub downloads, according to the available data) and Abstracts Views on Vision4Press platform.
Data correspond to usage on the plateform after 2015. The current usage metrics is available 48-96 hours after online publication and is updated daily on week days.
Initial download of the metrics may take a while.