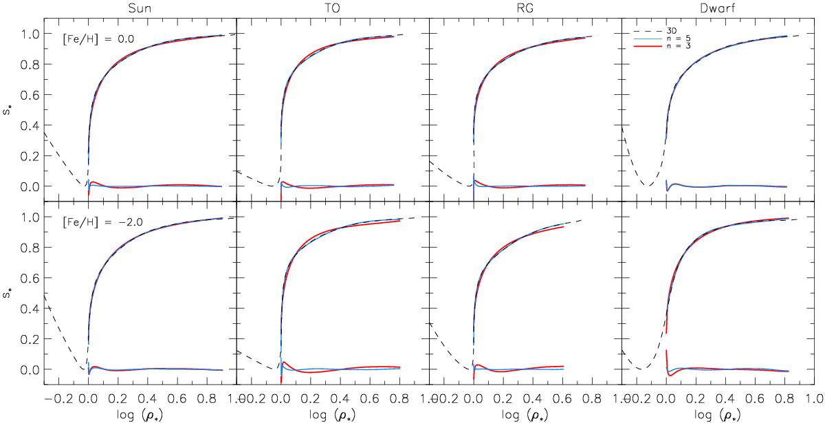
Fig. 4

Fittings of the normalized ⟨3D⟩ entropy jump (dashed line) with the functions ζ3 and ζ5 (red and blue lines, respectively) for different models: Sun (Teff/ log g = 5777/4.44), turnoff star (6500/4.0), red giant (4000/2.0), and dwarf (4500/5.0) for solar metallicity ([Fe/H] = 0) and metal-poor ([Fe/H] = −2.0) models (upper and lower panels). We also depict the difference between the ⟨3D⟩ model and the fitted functions ζ3 and ζ5.
Current usage metrics show cumulative count of Article Views (full-text article views including HTML views, PDF and ePub downloads, according to the available data) and Abstracts Views on Vision4Press platform.
Data correspond to usage on the plateform after 2015. The current usage metrics is available 48-96 hours after online publication and is updated daily on week days.
Initial download of the metrics may take a while.