Free Access
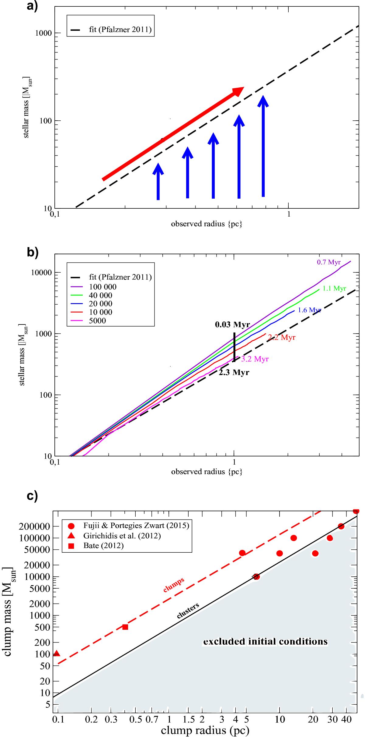
Fig. 6

a) Schematic picture of cluster formation driven by hierarchical clump structure b) Mass size development for different clump masses in the free-fall regulated scenario (adapted from Pfalzner et al. 2014). c) initial conditions used in various numerical studies of clustered star formation.
Current usage metrics show cumulative count of Article Views (full-text article views including HTML views, PDF and ePub downloads, according to the available data) and Abstracts Views on Vision4Press platform.
Data correspond to usage on the plateform after 2015. The current usage metrics is available 48-96 hours after online publication and is updated daily on week days.
Initial download of the metrics may take a while.