Free Access
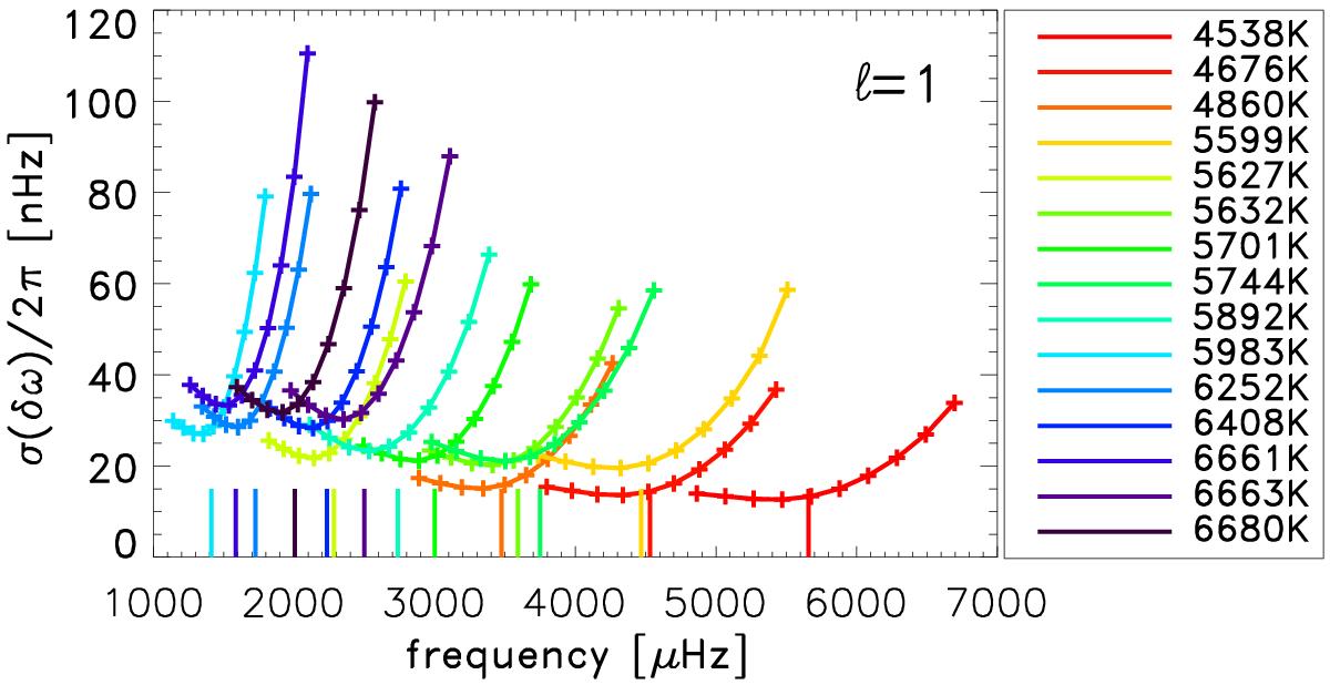
Fig. 1

Uncertainty on the mode splittings ℓ = 1, | m | = 1 for each stellar model, as indicated by the temperature. The vertical ticks indicate the frequency of maximum p-mode power, νmax, in the envelope. Hotter stars have modes with higher oscillation frequencies and larger uncertainties on the splittings.
Current usage metrics show cumulative count of Article Views (full-text article views including HTML views, PDF and ePub downloads, according to the available data) and Abstracts Views on Vision4Press platform.
Data correspond to usage on the plateform after 2015. The current usage metrics is available 48-96 hours after online publication and is updated daily on week days.
Initial download of the metrics may take a while.