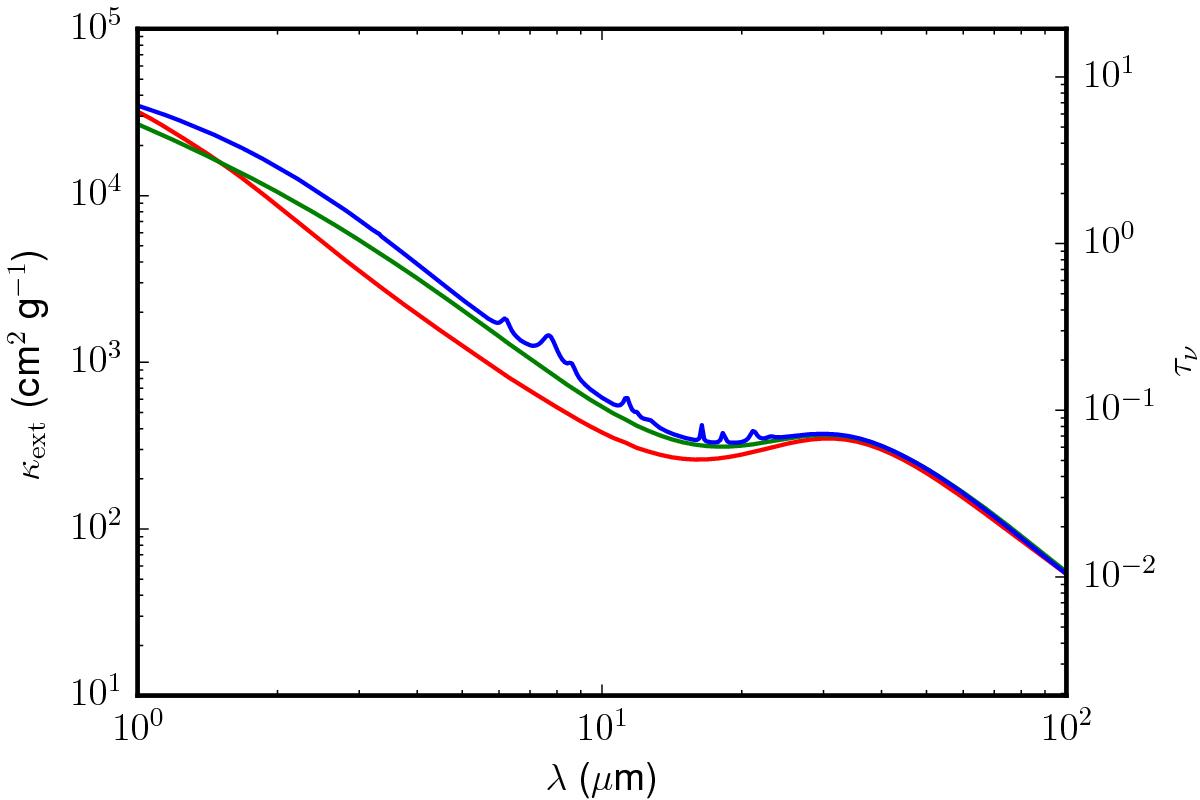
Fig. 11

Near- and mid-infrared extinction derived for carbonaceous grains, using the size distributions of Mathis et al. (1977), shown in red; Kim et al. (1994), shown in green; and Weingartner & Draine (2001), shown in blue. The vertical axis shows the mass extinction coefficient on the left and the optical depth on the right, where a value of 3.8 × 10-4 g cm-2 has been used for the column density of the carbonaceous material (see Sect. 5.3).
Current usage metrics show cumulative count of Article Views (full-text article views including HTML views, PDF and ePub downloads, according to the available data) and Abstracts Views on Vision4Press platform.
Data correspond to usage on the plateform after 2015. The current usage metrics is available 48-96 hours after online publication and is updated daily on week days.
Initial download of the metrics may take a while.