Free Access
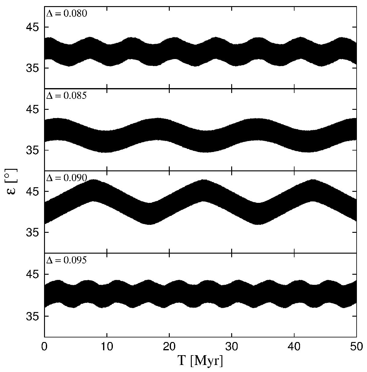
Fig. 4

Time evolution of the osculating obliquity ε of Dejopeja for the four cases considered in Fig. 3. The resonant cases, middle panels, are characterized by large amplitude and long-period obliquity variations. These reflect librations in the Cassini resonance zone having Δε ≃ 10° width.
Current usage metrics show cumulative count of Article Views (full-text article views including HTML views, PDF and ePub downloads, according to the available data) and Abstracts Views on Vision4Press platform.
Data correspond to usage on the plateform after 2015. The current usage metrics is available 48-96 hours after online publication and is updated daily on week days.
Initial download of the metrics may take a while.