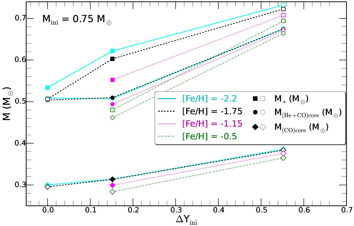
Fig. 3

Total stellar mass, mass of the (He+CO) core, and mass of the CO core (squares, circles, and diamonds respectively) at the end of HB for the 0.75 M⊙ models at the different metallicities (colour-coded) as a function of ΔYini. Full and open symbols correspond respectively to the models that do or do not reach the TP-AGB phase (and undergo at least two thermal pulses) after central helium burning.
Current usage metrics show cumulative count of Article Views (full-text article views including HTML views, PDF and ePub downloads, according to the available data) and Abstracts Views on Vision4Press platform.
Data correspond to usage on the plateform after 2015. The current usage metrics is available 48-96 hours after online publication and is updated daily on week days.
Initial download of the metrics may take a while.