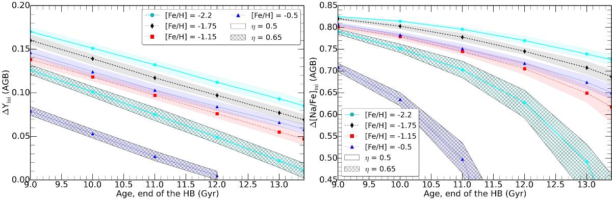
Fig. 7

Maximum spreads in helium and sodium (namely ΔYini(AGB) and Δ[Na/Fe]ini(AGB)) predicted on the AGB for the four metallicities as a function of the age at the end of the helium-burning phase. The shaded areas are obtained for a value of η = 0.65 (shown only for the two extreme [Fe/H] values), while the other coloured areas are for η = 0.5 for the four [Fe/H] values considered (see inset).
Current usage metrics show cumulative count of Article Views (full-text article views including HTML views, PDF and ePub downloads, according to the available data) and Abstracts Views on Vision4Press platform.
Data correspond to usage on the plateform after 2015. The current usage metrics is available 48-96 hours after online publication and is updated daily on week days.
Initial download of the metrics may take a while.